結構大講堂——地下室外墻設計(三)(原創)
作者:趙小剛 來源:智和結構
智和事務所——結構專家
專注結構優化20年
地下室外墻設計
應根據實際情況考慮其荷載作用影響,一半豎向荷載有上部結構跟地下室樓蓋傳來的荷載及本身自重;水平方向有室外地面活荷載,土和地下水等側向壓力。領近建筑物、構筑物的側壓力影響。通常容易漏計考慮消防車道及過街樓部位活荷載的作用影響。
有人防部分應考慮人防的等效靜荷載,其取值應符合《人防規范》GB50038第4.314條規定且應注意5級人防時,當上部建筑物外墻為鋼筋混凝土承重墻時,上部建筑物自重取全部重量,其他結構形式時只取其自重之半。
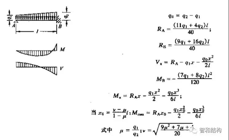
——內力計算及截面設計——
01
靜力手冊 計算
單跨梁受彎構件
以一端簡支、一端固定的單層地下室為例
計算 模型
——需要注意的構造措施——
01
構造 配筋
《高層建筑混凝土結構技術規程》
JGJ3—2010
12.2.5高層建筑地下室外墻設計應滿足水土壓力及地面和在側壓力作用下承載力要求,其豎向和水平分布鋼筋應雙層雙向布置,間距不宜大于150mm,配筋率不宜小于0.3%。
《高層建筑混凝土結構技術規程》
JGJ3—2010
具體工程設計配筋率建議取0.3%。
02
保護層 厚度
《全國民用建筑工程設計技術措施》
《地下工程防水技術規范》
GB50108-2008 第4.1.7條:
《人民防空地下室設計規范》
GB50038-2005
具體工程設計:
外墻外側取50mm,內側取20mm。
03
混凝土 強度登記
《混凝土結構耐久性規范》
具體工程設計取C35
04
抗滲 等級
05
截面 厚度
《地下工程防水技術規范》
《人民防空地下室設計規范》
GB50038-2005
具體工程設計:考慮到外墻保護層厚度較大致使墻體有效截面減少較多,及施工誤差等因素,外墻厚度取值建議不小于300mm。
.END.
未完待續....
注:本文來自于深圳市智和建筑工程設計事務所,版權歸原作者所有。

